Вернуться к содержанию учебника
Выберите год учебника
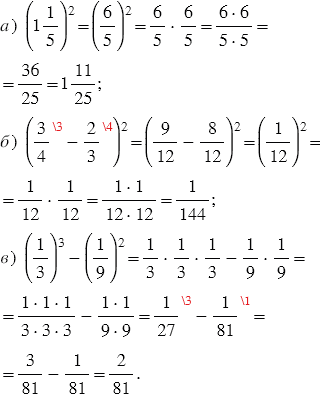
№2.339 учебника 2023-2024 (стр. 90):
Вычислите:

№2.339 учебника 2021-2022 (стр. 85):
В художественной школе организовали выставку детских рисунков, на которой было представлено 144 работы. При этом графические рисунки составляли
всех работ, рисунки акварелью - 0,75 остальных работ. Сколько рисунков акварелью было представлено на выставке?
№2.339 учебника 2023-2024 (стр. 90):
Вспомните:
№2.339 учебника 2021-2022 (стр. 85):
Вспомните:
№2.339 учебника 2023-2024 (стр. 90):

Пояснения:
Чтобы возвести число в степень, нужно умножить это число само на себя столько раз, какова его степень.
Если выражение содержит число степени, то сначала нужно возвести это число в степень, а затем выполнить остальные действия.
Если выражение содержит действие в степени, то сначала нужно выполнить действие под степенью, затем возвести полученный результат в степень и выполнить оставшиеся действия.
Произведением двух дробей является дробь, числитель которой равен произведению числителей, а знаменатель - произведению знаменателей.
Чтобы вычесть две дроби с разными знаменателями, надо: привести данные дроби к общему знаменателю (наименьшее общее кратное знаменателей вычитаемых дробей), используя основное свойство дроби, а затем применить правило вычитания дробей с одинаковыми знаменателями (чтобы найти разность двух дробей с одинаковыми знаменателями, нужно из числителя уменьшаемого вычесть числитель вычитаемого, а знаменатель оставить прежним).
№2.339 учебника 2021-2022 (стр. 85):

1)
- графические.
2) 144 - 40 = 104 (рис.) - остальные работы.
3) 104 • 0,75 = 78 (рис.) - акварелью.
| × | 1 | 0 | 4 | |
| 0 | 7 | 5 | ||
| + | 5 | 2 | 0 | |
| 7 | 2 | 8 | ||
| 7 | 8 | 0 | 0 |
Ответ: 78 рисунков акварелью было представлено на выставке
Пояснения:
Чтобы найти дробь от числа (десятичную или обыкновенную), нужно умножить число на эту дробь.
В художественной школе организовали выставку детских рисунков, на которой было представлено 144 работы. При этом графические рисунки составляли
всех работ, значит, графических рисунков было:

Чтобы умножить обыкновенную дробь на натуральное число, нужно ее числитель умножить на это число, а знаменатель оставить без изменения. Чтобы вычисления были проще, не надо перемножать сразу, лучше сделать это после сокращения. Сократить дробь - значит, разделить ее числитель и знаменатель на их наибольший общий делитель. Также помним, дробь, у которой в знаменателе стоит единица, равна своему числителю.
Всего на выставке было представлено 144 рисунка, из которых 40 графических рисунков, тогда остальных рисунков было:
144 - 40 = 104 (рис.).
Рисунки акварелью составляли 0,75 от 104 рисунков, значит, рисунков акварелью было:
104 • 0,75 = 78 (рис.).
Чтобы умножить десятичную дробь на натуральное число, надо:
1) умножить их как натуральные числа, не обращая внимание на запятую;
2) в полученном произведении отделить запятой справа столько цифр, сколько их стоит после запятой у умножаемой дроби.
Вернуться к содержанию учебника